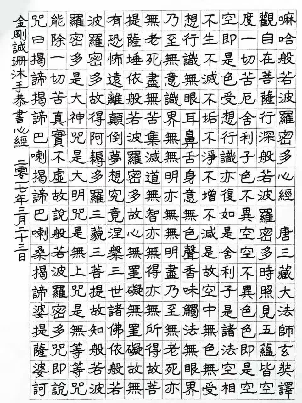
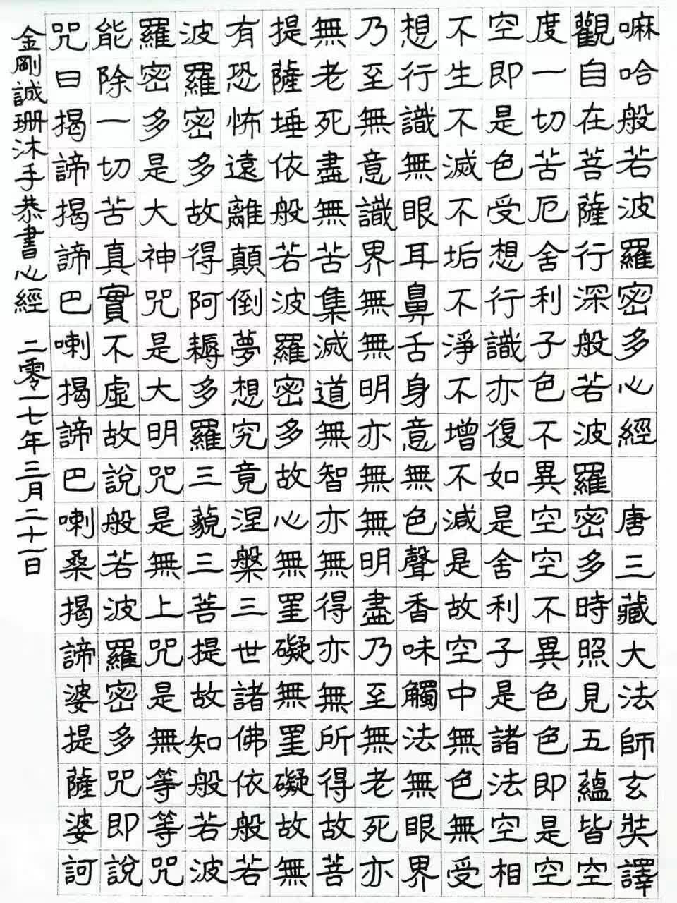
學 心 經

 
 

 

Last updated:
Copyright © 1991- Jin-Gang-Dhyana Incorporated