|
人 類 第 一 次 看 見 量 子 糾 纏 ! 科 學 家 終 於 拍 攝 到 量 子 糾 纏 的 照 片
中 科 院 高 能 所 20190717
Reposted from Official Account 環 球 科 學 , Author 環 球 科 學

在 一 項 近 期 發 表 於 《 科 學 • 進 展 》 的 研 究 中 , 英 國 格 拉 斯 哥 大 學 的 物 理 學 家 保 羅 -安 托 萬 • 莫 羅 ( Paul-Antoine Moreau ) 帶 領 團 隊 首 次 拍 攝 到 量 子 糾 纏 的 照 片 。 終 於 , 人 類 第 一 次 親 眼 看 見 這 種 「 幽 靈 般 的 超 距 作 用 」 。
撰 文 | 張 華
編 輯 | 吳 非
來 源 | 環 球 科 學 ( huanqiukexue )
證 實 量 子 糾 纏
1935 年 , 在 普 林 斯 頓 高 等 研 究 院 , 阿 爾 伯 特 • 愛 因 斯 坦 ( Albert Einstein ) 與 鮑 裡 斯 • 波 多 爾 斯 基 ( Boris Podolsky ) 、 納 森 • 羅 森 ( Nathan Rosen ) 共 同 提 出 了 EPR 悖 論 。 這 個 悖 論 顯 示 , 在 量 子 力 學 中 , 兩 個 相 互 作 用 的 粒 子 , 無 論 相 隔 多 遠 ( 理 論 上 這 個 距 離 可 以 比 銀 河 系 直 徑 還 大 ) , 其 量 子 狀 態 仍 能 「 糾 纏 」 在 一 起 , 共 享 同 一 個 整 體 的 物 理 狀 態 。 這 種 超 距 的 量 子 關 聯 被 稱 為 量 子 糾 纏 , 也 被 愛 因 斯 坦 稱 為 「 幽 靈 般 的 超 距 作 用 」 。
之 所 以 被 稱 作 悖 論 , 是 因 為 這 在 當 時 看 起 來 似 乎 違 反 了 狹 義 相 對 論 。 愛 因 斯 坦 他 們 認 為 量 子 力 學 是 錯 的 : 量 子 力 學 之 所 以 呈 現 出 不 可 預 測 的 概 率 性 , 是 因 為 還 有 一 些 物 理 變 量 隱 藏 起 來 了 。 ( 比 如 我 們 不 能 預 測 股 票 市 場 的 漲 跌 , 是 因 為 影 響 股 票 市 場 的 變 量 很 多 , 比 如 某 地 發 生 了 山 體 滑 坡 會 影 響 股 票 市 場 , 而 如 果 這 個 山 體 滑 坡 的 消 息 只 被 少 數 幾 個 人 知 道 , 對 大 多 數 股 民 來 說 , 這 消 息 就 是 一 個 隱 變 量 。 )
愛 因 斯 坦 等 人 的 EPR 論 文 希 望 用 所 謂 的 「 定 域 隱 變 量 理 論 」 來 取 代 量 子 力 學 理 論 , 從 而 克 服 悖 論 引 發 的 困 難 。
愛 因 斯 坦 認 為 , 量 子 力 學 中 存 在 隱 變 量 。 如 果 隱 變 量 真 的 存 在 , 那 就 必 須 要 找 出 來 。
1965 年 , 當 時 在 歐 洲 核 子 中 心 研 究 高 能 物 理 的 年 輕 研 究 人 員 約 翰 • 貝 爾 ( John Bell ) 發 表 論 文 指 出 , 對 於 EPR 悖 論 , 其 實 是 可 以 做 實 驗 來 驗 證 的 。 對 於 量 子 糾 纏 的 兩 個 粒 子 來 說 , 量 子 力 學 得 到 的 統 計 關 聯 性 結 果 比 定 域 性 隱 變 量 理 論 要 強 很 多 。 因 此 , 實 驗 是 可 以 分 辨 出 這 兩 種 理 論 的 。 在 文 章 中 , 貝 爾 給 出 了 一 個 不 等 式 來 說 明 , 如 果 用 S 來 表 示 兩 個 粒 子 的 統 計 關 聯 的 程 度 , 那 麼 :
若 S = 2, 說 明 沒 有 量 子 糾 纏 ;
若 2 < S < 23/2 , 則 說 明 存 在 量 子 糾 纏 。
在 貝 爾 論 文 的 指 引 下 , 物 理 學 家 用 正 負 電 子 湮 滅 產 生 的 高 能 伽 馬 射 線 的 兩 個 相 互 糾 纏 的 光 子 , 做 了 一 些 實 驗 試 圖 檢 驗 貝 爾 不 等 式 。 但 是 , 當 時 這 種 高 能 光 子 的 探 測 器 比 較 難 分 辨 量 子 糾 纏 。 1981 年 , 法 國 一 位 名 為 阿 蘭 • 阿 斯 佩 克 特 ( Alain Aspect ) 的 博 士 生 用 鈣 原 子 激 發 產 生 的 兩 個 可 見 光 子 做 了 實 驗 , 也 證 明 了 實 驗 結 果 符 合 量 子 力 學 的 預 測 , 而 不 符 合 定 域 性 隱 變 量 理 論 , 這 相 當 於 給 定 域 性 隱 變 量 理 論 蓋 上 了 棺 材 板 。

阿 蘭 • 阿 斯 佩 克 特 在 1981 年 發 表 的 實 驗 論 文 ( 來 源 : PRL )
目 前 , 科 學 界 普 遍 接 受 了 量 子 力 學 的 正 統 解 釋 , 也 接 受 了 量 子 糾 纏 的 存 在 性 。 不 過 , 人 們 卻 始 終 沒 有 真 正 看 到 量 子 糾 纏 的 圖 像 。
製 造 糾 纏 光 子 對
如 果 要 給 量 子 糾 纏 拍 照 , 首 先 要 建 立 一 個 量 子 糾 纏 的 系 統 , 否 則 巧 婦 難 為 無 米 之 炊 。
而 建 立 量 子 糾 纏 的 系 統 有 很 多 種 方 法 , 比 如 可 以 研 究 電 子 與 電 子 之 間 的 量 子 糾 纏 , 也 可 以 研 究 光 子 與 光 子 之 間 的 量 子 糾 纏 。
格 拉 斯 哥 大 學 的 研 究 人 員 使 用 的 是 光 子 。 他 們 設 計 了 一 個 實 驗 系 統 : 一 個 波 長 為 355 納 米 的 紫 外 光 子 通 過 了 偏 硼 酸 鋇 ( BBO ) 晶 體 後 , 變 成 了 兩 個 710 納 米 的 紅 光 光 子 。
隨 後 , 他 們 使 用 分 束 器 讓 這 兩 個 波 長 為 710 納 米 的 光 子 分 離 , 它 們 各 自 沿 著 光 學 系 統 中 的 兩 條 不 同 的 光 路 傳 播 。 這 兩 條 光 路 的 長 度 不 一 樣 , 因 此 可 以 調 節 兩 個 光 子 達 到 探 測 器 的 時 間 差 。
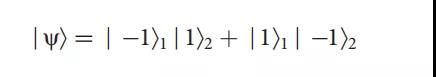
這 兩 個 分 道 揚 鑣 的 光 子 , 就 是 一 對 糾 纏 光 子 。 為 什 麼 它 們 是 量 子 糾 纏 的 呢 ? 因 為 這 兩 個 710 納 米 的 光 子 是 軌 道 角 動 量 等 於 0 的 355 納 米 的 光 子 通 過 BBO 晶 體 產 生 的 。 根 據 角 動 量 守 恆 定 律 , 這 一 對 糾 纏 光 子 ( 標 記 為 1 號 光 子 與 2 號 光 子 ) 的 軌 道 角 動 量 分 別 是 +1 與 -1 。 所 以 , 它 們 可 以 構 成 一 個 如 下 的 糾 纏 態 ( 用 狄 拉 克 符 號 表 示 ) :

根 據 這 一 原 理 , 可 以 產 生 大 量 的 糾 纏 光 子 對 ( 具 有 不 同 軌 道 角 動 量 的 光 子 具 有 不 同 的 波 前 , 這 在 實 驗 中 可 以 檢 測 出 來 ) 。
拍 下 照 片
有 了 量 子 糾 纏 的 光 子 以 後 , 就 可 以 拍 照 了 。
以 前 檢 驗 量 子 糾 纏 的 方 法 , 比 如 前 面 提 到 的 阿 蘭 • 阿 斯 佩 克 特 的 實 驗 , 也 是 基 於 可 見 光 的 光 子 。 但 當 時 是 對 光 子 的 個 數 進 行 計 數 , 而 沒 有 直 接 拍 攝 量 子 糾 纏 的 照 片 。

實 驗 裝 置 圖 ( 來 源 : 研 究 論 文 )
在 最 新 研 究 中 , 格 拉 斯 哥 大 學 的 實 驗 裝 置 相 當 於 一 台 超 靈 敏 的 照 相 機 , 能 夠 探 測 單 個 光 子 。
具 體 來 說 , 一 對 光 子 被 分 束 器 ( 上 圖 中 的 BS ) 分 離 , 分 別 沿 著 兩 條 路 線 傳 播 。 其 中 , 第 一 個 光 子 經 過 空 間 光 調 製 器 ( SLM 1 ) , 被 光 纖 收 集 後 , 繼 而 被 單 光 子 探 測 器 ( SPAD ) 探 測 到 。 另 一 個 光 子 經 過 分 束 器 折 射 後 , 沿 著 另 一 條 光 路 傳 播 , 通 過 了 放 置 在 BBO 晶 體 的 傅 裡 葉 平 面 的 SLM 2 。 然 後 , 這 個 光 子 會 通 過 一 段 20 米 長 的 延 遲 線 ( Delay line ) , 最 終 被 增 強 型 電 荷 耦 合 檢 測 器 ( ICCD ) 相 機 檢 測 到 。
這 項 實 驗 的 設 計 原 理 是 , 當 第 一 條 光 路 上 的 SPAD 探 測 到 光 子 時 , 便 將 信 號 傳 送 至 ICCD 相 機 、 觸 發 ICCD 相 機 拍 攝 照 片 。 由 於 量 子 糾 纏 存 在 , 相 機 應 該 能 捕 捉 到 第 二 條 光 路 上 的 光 子 。 但 由 於 相 機 存 在 觸 發 延 遲 , 因 此 第 二 條 光 路 精 確 設 置 了 延 遲 線 , 從 而 確 保 第 二 個 光 子 到 達 的 時 間 與 相 機 拍 照 的 瞬 間 恰 好 一 致 。 這 樣 , 相 機 就 捕 捉 到 一 個 可 見 的 光 子 糾 纏 記 錄 。
隨 後 , 他 們 設 計 了 一 個 系 統 , 讓 大 量 的 糾 纏 光 子 顯 示 在 液 晶 材 料 上 , 液 晶 材 料 在 光 子 通 過 時 可 以 記 錄 下 來 形 成 圖 像 。 這 證 明 了 量 子 糾 纏 是 存 在 的 。

圖 ( B ) 為 光 子 在 4 種 不 同 的 相 位 下 , 被 相 機 捕 捉 到 的 圖 像 。
格 拉 斯 哥 大 學 的 物 理 學 家 成 功 拍 攝 到 量 子 糾 纏 的 照 片 , 而 且 他 們 的 實 驗 得 到 的 貝 爾 不 等 式 相 關 參 數 S = 2.443 ( 因 為 實 驗 有 各 種 誤 差 , 所 以 沒 有 達 到 最 大 的 量 子 糾 纏 23/2, 即 2.82 ) 。 但 很 明 顯 , 2.443 這 個 數 字 是 大 於 2 的 , 這 無 疑 再 次 說 明 了 , 量 子 糾 纏 是 真 實 存 在 的 。
|